Analyzing your prompt, please hold on...
An error occurred while retrieving the results. Please refresh the page and try again.
Aspose.OCR for Python via .NET now provides a dedicated API for detecting and recognizing mathematical formulas in images, scanned documents, screenshots, or photos.
To extract formula text, simply call the universal aspose.ocr.AsposeOcr.recognize_formula method.
This method accepts an OcrInput object and optional recognition settings.
Internally, formula detection uses the DetectAreasMode.FORMULA mode to locate mathematical expressions before recognition.
Recognition results are returned as a list of aspose.ocr.RecognitionResult objects. Each result contains extracted formula text, detected regions, and allows exporting to various formats.
# Instantiate Aspose.OCR API
api = AsposeOcr()
# Add image to the recognition
input = OcrInput(InputType.SINGLE_IMAGE)
input.add("source1.png")
# Set areas detection mode
recognitionSettings = RecognitionSettings()
recognitionSettings.detect_areas_mode = DetectAreasMode.FORMULA
# Recognize the image
results = api.recognize(input, recognitionSettings)
# Print recognition result
for result in results:
print(result.recognition_text)
# Instantiate Aspose.OCR API
api = AsposeOcr()
# Add image to the recognition
input = OcrInput(InputType.SINGLE_IMAGE)
input.add("source1.png")
# Recognize formulas with areas detection
results = api.recognize_formula(input, True)
# Parameter bool detectAreas - if set to true, automatically detects and isolates formula regions before performing recognition. If false, processes the entire image as a formula.
# Print recognition result
for result in results:
print(result.recognition_text)
recognitionEngine.recognize_formula(input, True)
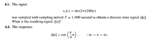
x_{c} ( t )=\\sin\left( 2 \\pi( 1 0 0 ) t \right)
T=1 / 4 0 0
x [ n ]
x [ n ]
x [ n ]=\\cos\left( {\\frac{\\pi} {4}} n \right) , \\qquad-\\infty< n < \\infty.
recognitionEngine.recognize_formula(input, False)
x [ n ]=\\cos\left( \\frac{\\pi} {4} n \right) . \\qquad-\\infty< n < \\infty.
Analyzing your prompt, please hold on...
An error occurred while retrieving the results. Please refresh the page and try again.